Steensgaard for a_equals_b


Input that generated this file: a_equals_b.test
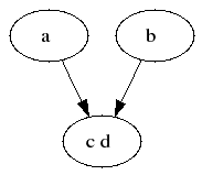
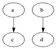
a=bottom


b=bottom


a=&c


b=&d


a=b