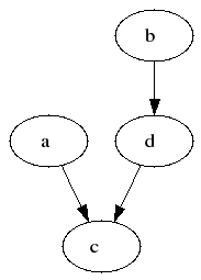
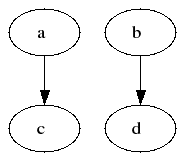
Steensgaard for a_equals_star_b


Input that generated this file: a_equals_star_b.test
a=&c


b=&d


a=*b