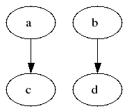
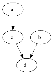
Steensgaard for star_a_equals_b


Input that generated this file: star_a_equals_b.test
a=&c


b=&d


*a=b